Skip to main content
FAQs
Complain
Problems
Search form
Search
X
091-403064, 403029
ghodaghodimun@gmail.com
घोडाघोडी नगरपालिका
समतामुलक, समृद्ध पर्यटकीय नगरीः पहिचान सहितको हाम्रो घोडाघोडी ।
Search form
Search
गृहपृष्ठ
परिचय
संक्षिप्त परिचय
संगठनात्मक स्वरुप
कर्मचारीहरु
वार्ड प्रोफाइल
कार्यपालिका सदस्य
कार्यक्रम तथा परियोजना
दस्तावेज
प्रकाशन
ऐन, कानुन तथा निर्देशिका
डाउनलोड
प्रतिवेदन
वार्षिक प्रगति प्रतिवेदन
चौमासिक प्रगति प्रतिवेदन
लेखा परीक्षण प्रतिवेदन
अनुगमन प्रतिवेदन
सार्वजनिक सुनुवाई
सार्वजनिक परीक्षण
सामाजिक परिक्षण
विधुतीय शुसासन सेवा
घटना दर्ता
सामाजिक सुरक्षा
वडास्तरिय नागरिक सेवापत्र
निवेदनको ढाँचा
अनलाइन व्यवसाय दर्ता
अनलाइन सिफारिस
सूची दर्ता
सूचना तथा जानकारी
सूचना तथा समाचार
कर तथा शुल्कहरु
रोजगारमूलक सेवा
तथ्यांक
लाभग्राही विवरण
घटना दर्ता विवरण
सम्पर्क
समाचार
आ. व. २०८३।०८४ का लागि बेरोजगार व्यक्ति सूचीकरण सम्बन्धी सूचना ।
निःशुल्क तालिम सञ्चालनको सूचना ।
आन्तरिक आयको ठेक्का वन्दोवस्त गर्ने सम्बन्धी बोलपत्र आव्हानको सूचना तेश्रो पटक प्रकाशित मितिः २०८२/११/२८
आन्तरिक आयको ठेक्का वन्दोवस्त गर्ने सम्बन्धी बोलपत्र आव्हानको सूचना तेश्रो पटक प्रकाशित मितिः २०८२/११/२८ ठेक्का नं. IREV/GMU/05/082/083
आन्तरिक आयको ठेक्का वन्दोवस्त गर्ने सम्बन्धी बोलपत्र आव्हानको सूचना तेश्रो पटक प्रकाशित मितिः २०८२/११/२८ ठेक्का नं. IREV/GMU/04/082/083
You are here
Home
» निःशुल्क तालिम सञ्चालनको सूचना ।
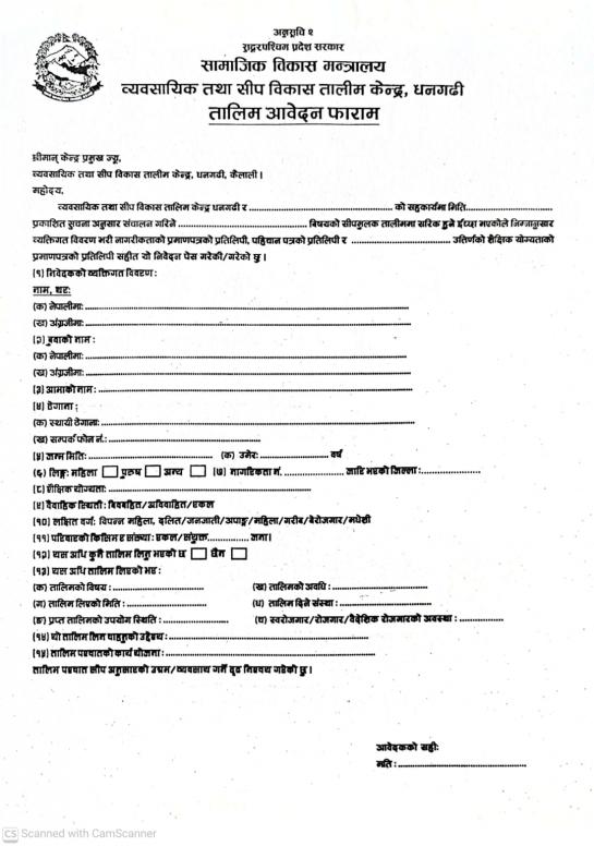
निःशुल्क तालिम सञ्चालनको सूचना ।
Act, law and directives
Act, law and directives
कर तथा शुल्कहरू
घर जग्गा कर/ एकीकृत सम्पति कर
घर बहाल कर
व्यवसाय कर
सेवा शुल्क
विधुतीय शुसासन सेवा
कार्य सम्पादन मुल्यांकन फाराम ।
औषधि उपचार बापत खर्च पाउनका लागि दिइने निवेदनको ढाँचा
करार सेवा आबेदन फाराम
रोजगारमूलक सेवा
आ. व. २०८३।०८४ का लागि बेरोजगार व्यक्ति सूचीकरण सम्बन्धी सूचना ।
निःशुल्क तालिम सञ्चालनको सूचना ।
अन्तिम नतिजा प्रकाशन गरिएको सूचना ।
लिखित परिक्षाको नतिजा प्रकाशन र अन्तरबार्ता मिति तोकिएको सूचना ।
स्विकृत नामावली प्रकाशन र लिखित परिक्षाको मिति तोकिएको सम्बन्धी सूचना ।
1 of 40
next ›
ऐन, कानुन तथा निर्देशिका
तह मिलानका लागि आबेदन फाराम पेश गर्ने सम्बन्धी सूचना ।
आ. व. २०८२/ ०८३ को बजेट वक्तव्य ।
घोडाघोडी नगरपालिकाको आ व २०८२/०८३ को आर्थिक विधेयक ।
आ. व. २०८२/०८३ को बजेट तथा कार्यक्रम
आ. व. २०८२।०८३ को वार्षिक नीति, बजेट तथा कार्यक्रम तर्जुमाका लागि राय सुुझाव उपलब्ध गराउने सम्बन्धि सूचना ।
1 of 9
next ›
बजेट तथा कार्यक्रम
आ. व. २०८२/ ०८३ को बजेट वक्तव्य ।
घोडाघोडी नगरपालिकाको आ व २०८२/०८३ को आर्थिक विधेयक ।
आ. व. २०८२।०८३ को वार्षिक नीति, बजेट तथा कार्यक्रम तर्जुमाका लागि राय सुुझाव उपलब्ध गराउने सम्बन्धि सूचना ।
घोडाघोडी नगरपालिकाको रातो किताब आ.व. २०८१/०८२
योजना तथा कार्यक्रम कार्यान्वयन सम्बन्धमा ।
1 of 11
next ›